출처: https://forestunit.tistory.com/35 [미니도넛의 정보저장소:티스토리]

새소식

증명

삼각함수의 덧셈정리

  • -

 

 

0.들어가며

오늘은 삼각함수의 덧셈정리에 대해 알아보겠습니다.

먼저 삼각함수의 덧셈정리 공식은 아래와 같습니다.

누구나 외우는 공식이지만 이 글에서는 블로그 이름처럼 왜 그런지에 대해 알아보겠습니다.

삼각함수의 덧셈정리는 사실 원활하게 사용하기 위해서는 외워야 합니다.

몇몇 공식들은 그때그때 유도를 해서 사용한다고 해도,

이 공식은 암기 후 사용하는 것이 효율이 좋기 때문입니다.

특히 수능이라면 더욱 암기는 필수입니다.

 

그러나 암기를 해도 그냥 외우는 것과, 왜 그런지 유도과정을 한번이라도 보고 외우는 것은 차이가 있습니다.

이제부터 그 유도과정을 보여드리겠습니다.

 


1. $\alpha +\beta$인 경우의 유도

1-1.  $sin \left( \alpha+\beta \right)$

먼저 $sin \left( \alpha+\beta \right)$입니다.

위의 그림처럼 빗변의 길이가 1인 직각삼각형 $ABC$를 그려보겠습니다.

그림에서 우리가 구하고자 하는 $sin \left( \alpha+\beta \right)$는 $\overline{AC}$가 됩니다.

$\overline{AC}$ 를 구하기 위해 $\overline{AB}$ 를 빗변으로하며 $\angle B= \beta$ 인 직각삼각형 $ABF$를 그려봅니다.

$F$를 지나면서 $\overline{AC}$와 평행한 선을 그어 $ACDE$가 직사각형이 되게 해줍니다.

그러면 $\overline{AC} = \overline{EF}+ \overline{FD} $이므로 $\overline{EF}+ \overline{FD} $ 의 값을 구하면 됩니다.

 

삼각형 $ABF$에서 $\overline{AF}= sin \beta, \overline{BF}=cos \beta$ 입니다.

 

$\angle FBD=\alpha$이므로 $\angle BFD=90-\alpha$입니다. 그러면 $\angle AFE=\alpha$가 됩니다.

이제  $\overline{EF}+ \overline{FD} $를 구할 수 있습니다.

 

 $\overline{EF}= \overline{AF} cos \alpha,  \overline{FD}=\overline{BF} sin \alpha $이므로

우리가 구하고자 하는

$\overline{AC}=\overline{EF}+\overline{FD}= sin \beta cos \alpha + cos \beta sin \alpha$

$=sin \alpha cos \beta + cos \alpha sin \beta$


1-2.  $cos \left( \alpha+\beta \right)$

이번에는 $cos \left( \alpha+\beta \right)$입니다.

이번에는 $\overline{BC}$를 구하면 됩니다.

$ \overline{BC} = \overline{BD}- \overline{CD}$ 와 같이 구할 수 있습니다.

위에서 구한 $\overline{AF}= sin \beta, \overline{BF}=cos \beta$  라는 사실과

$\angle AFE=\alpha$ 라는 사실을 다시 사용합니다.

$ \overline{AE}=\overline{AF} sin \alpha$

$ \overline{BD}=\overline{BF} cos \alpha$

이므로

$ \overline{BC} = cos \beta cos \alpha -sin \beta sin \alpha$


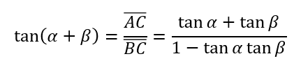
1-3.  $tan \left( \alpha+\beta \right)$

마지막으로 $tan \left( \alpha+\beta \right)$입니다.

$ tan \left( \alpha+\beta \right) = \frac{\overline{AC}}{\overline{BC}}$ 이므로 이 두 선분의 길이를 구해보겠습니다.

 

이번에는 계산의 편의를 위해 $\overline{BD}=1$ 이라고 합니다.

$\overline{DF}= tan \alpha, \overline{BF}=sec \alpha$ 라는 것은 바로 알 수 있습니다.

이어서 $\overline{AF}=\overline{BF} tan \beta = sec \alpha tan \beta$이고,

$\overline{EF}=\overline{AF} tan \alpha = \overline{AF} tan \alpha$

$ = sec \alpha tan \beta tan \alpha = tan \beta$  입니다.

 

우리가 구하려는 두 선분 중 $\overline{AC} = \overline{ED}=\overline{EF} + \overline{FD}$으로

하나의 길이는 구했고 이제 $\overline{BC}$의 길이를 구해보겠습니다.

$\overline{BC}=1- \overline{AE}$ 이므로

$\overline{AE}= \overline{AF} sin \alpha =sec \alpha tan \beta sin \alpha$입니다.

$ tan \alpha= \frac{sin \alpha }{cos \alpha } = sec \alpha sin \alpha$이므로

$\overline{AE}=tan \alpha tan \beta$ 입니다.

 

이렇게 두 각을 더하는 경우의 삼각함수 공식에 대해 알아봤습니다.


2. $\alpha -\beta$인 경우의 유도

이제  $\alpha -\beta$인 경우를 보겠습니다.

$\alpha - \beta = \alpha + \left( -\beta \right)$라고 생각하면 $\alpha -\beta$인 경우는 추가로 외울 필요가 없습니다.

기본성질인

 

라는 점을 이용하면

 

처럼 자연스럽게 각의 차에 대한 식도 얻을 수 있습니다.

 

오타, 오류 지적, 질문 등 댓글 항상 감사합니다. 

'증명' 카테고리의 다른 글

소수가 무한한 이유  (0) 2024.02.23
Contents

포스팅 주소를 복사했습니다

이 글이 도움이 되었다면 공감 부탁드립니다.